Direct Ink Writing of Programmable Functional Silicone-Based Composites for 4D Printing Applications
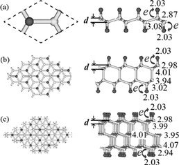
Hydrogen Adsorption on Pristine and Platinum Decorated Graphene Quantum Dot: A First Principle Study
Bimetallic Nickel Cobalt Sulfide as Efficient Electrocatalyst for Zn–Air Battery and Water Splitting
Density Functional Theory Study of the Interaction of Carbon Monoxide with Bimetallic Co-Mn Clusters
Structures and Electronic Properties of Cu20, Ag20, and Au20 Clusters with Density Functional Method